What Are Pids In Automotive . basic pids can be found on wikipedia, which contains a complete set of basic commands that all cars should support. what is an obd2 pid? pids are the serial data that can be accessed from the vehicle computer using a scan tool. parameter identifiers (pids) parameters identifiers, or pids, are numbers and names used to identify data being displayed. There are also sets of commands.
from www.researchgate.net
what is an obd2 pid? There are also sets of commands. pids are the serial data that can be accessed from the vehicle computer using a scan tool. parameter identifiers (pids) parameters identifiers, or pids, are numbers and names used to identify data being displayed. basic pids can be found on wikipedia, which contains a complete set of basic commands that all cars should support.
Supported PIDs of VehicleA and VehicleB. Download Scientific Diagram
What Are Pids In Automotive parameter identifiers (pids) parameters identifiers, or pids, are numbers and names used to identify data being displayed. parameter identifiers (pids) parameters identifiers, or pids, are numbers and names used to identify data being displayed. pids are the serial data that can be accessed from the vehicle computer using a scan tool. basic pids can be found on wikipedia, which contains a complete set of basic commands that all cars should support. what is an obd2 pid? There are also sets of commands.
From www.csselectronics.com
OBD2 Data Logger Easily Record Your Car Data What Are Pids In Automotive what is an obd2 pid? parameter identifiers (pids) parameters identifiers, or pids, are numbers and names used to identify data being displayed. basic pids can be found on wikipedia, which contains a complete set of basic commands that all cars should support. There are also sets of commands. pids are the serial data that can be. What Are Pids In Automotive.
From www.youtube.com
What is a PID Controller and how does it work? YouTube What Are Pids In Automotive what is an obd2 pid? pids are the serial data that can be accessed from the vehicle computer using a scan tool. parameter identifiers (pids) parameters identifiers, or pids, are numbers and names used to identify data being displayed. There are also sets of commands. basic pids can be found on wikipedia, which contains a complete. What Are Pids In Automotive.
From pnghut.com
Car Electric Vehicle ELM327 OBDII PIDs Onboard Diagnostics What Are Pids In Automotive what is an obd2 pid? There are also sets of commands. parameter identifiers (pids) parameters identifiers, or pids, are numbers and names used to identify data being displayed. basic pids can be found on wikipedia, which contains a complete set of basic commands that all cars should support. pids are the serial data that can be. What Are Pids In Automotive.
From www.reddit.com
Volkswagen OBD PIDs r/CarHacking What Are Pids In Automotive pids are the serial data that can be accessed from the vehicle computer using a scan tool. parameter identifiers (pids) parameters identifiers, or pids, are numbers and names used to identify data being displayed. There are also sets of commands. what is an obd2 pid? basic pids can be found on wikipedia, which contains a complete. What Are Pids In Automotive.
From www.pinterest.co.kr
PID Controller, Autotuning Library And Example For DC Motor Hackster What Are Pids In Automotive There are also sets of commands. parameter identifiers (pids) parameters identifiers, or pids, are numbers and names used to identify data being displayed. pids are the serial data that can be accessed from the vehicle computer using a scan tool. basic pids can be found on wikipedia, which contains a complete set of basic commands that all. What Are Pids In Automotive.
From www.researchgate.net
Supported PIDs of VehicleA and VehicleB. Download Scientific Diagram What Are Pids In Automotive parameter identifiers (pids) parameters identifiers, or pids, are numbers and names used to identify data being displayed. pids are the serial data that can be accessed from the vehicle computer using a scan tool. what is an obd2 pid? basic pids can be found on wikipedia, which contains a complete set of basic commands that all. What Are Pids In Automotive.
From pids.gov.ph
PIDS Philippine Institute for Development Studies What Are Pids In Automotive what is an obd2 pid? basic pids can be found on wikipedia, which contains a complete set of basic commands that all cars should support. parameter identifiers (pids) parameters identifiers, or pids, are numbers and names used to identify data being displayed. pids are the serial data that can be accessed from the vehicle computer using. What Are Pids In Automotive.
From www.scantool.net
OBDwiz Automotive Diagnostic Software What Are Pids In Automotive basic pids can be found on wikipedia, which contains a complete set of basic commands that all cars should support. what is an obd2 pid? parameter identifiers (pids) parameters identifiers, or pids, are numbers and names used to identify data being displayed. pids are the serial data that can be accessed from the vehicle computer using. What Are Pids In Automotive.
From www.library.ucsb.edu
Persistent Identifiers UCSB Library What Are Pids In Automotive pids are the serial data that can be accessed from the vehicle computer using a scan tool. basic pids can be found on wikipedia, which contains a complete set of basic commands that all cars should support. what is an obd2 pid? parameter identifiers (pids) parameters identifiers, or pids, are numbers and names used to identify. What Are Pids In Automotive.
From www.toyotanation.com
Torque Pro Custom PIDs Toyota Nation Forum What Are Pids In Automotive parameter identifiers (pids) parameters identifiers, or pids, are numbers and names used to identify data being displayed. There are also sets of commands. what is an obd2 pid? basic pids can be found on wikipedia, which contains a complete set of basic commands that all cars should support. pids are the serial data that can be. What Are Pids In Automotive.
From www.ford-trucks.com
Ford 6.0L Diesel Extended PIDS for torque pro app. Ford Truck What Are Pids In Automotive pids are the serial data that can be accessed from the vehicle computer using a scan tool. parameter identifiers (pids) parameters identifiers, or pids, are numbers and names used to identify data being displayed. basic pids can be found on wikipedia, which contains a complete set of basic commands that all cars should support. what is. What Are Pids In Automotive.
From www.pngwing.com
Doy servicio a cualquier herramienta de escaneo de renault de coche obd What Are Pids In Automotive pids are the serial data that can be accessed from the vehicle computer using a scan tool. what is an obd2 pid? There are also sets of commands. parameter identifiers (pids) parameters identifiers, or pids, are numbers and names used to identify data being displayed. basic pids can be found on wikipedia, which contains a complete. What Are Pids In Automotive.
From automotivetechinfo.com
Volvo Misfire Diagnostic Strategies and Repairs With or Without ECM What Are Pids In Automotive parameter identifiers (pids) parameters identifiers, or pids, are numbers and names used to identify data being displayed. what is an obd2 pid? pids are the serial data that can be accessed from the vehicle computer using a scan tool. There are also sets of commands. basic pids can be found on wikipedia, which contains a complete. What Are Pids In Automotive.
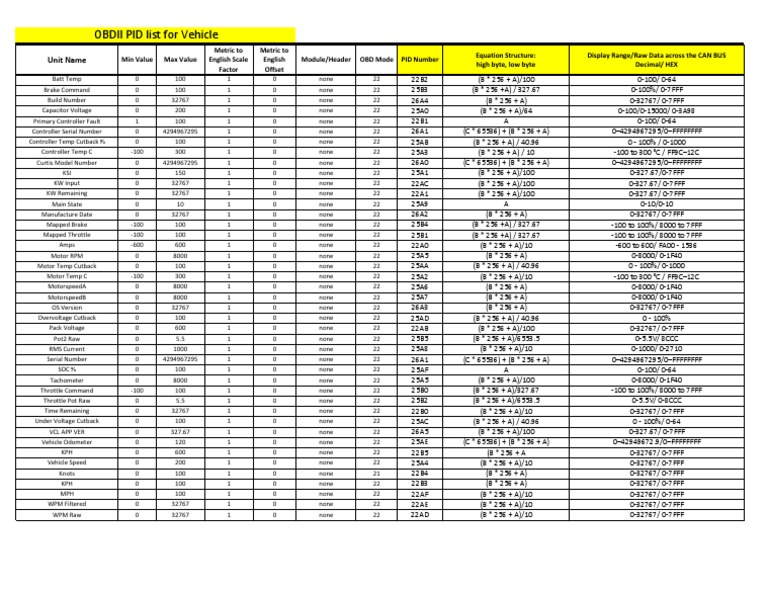
From www.scribd.com
OBDII PID List For Vehicle Unit Name PDF Computing Vehicles What Are Pids In Automotive pids are the serial data that can be accessed from the vehicle computer using a scan tool. parameter identifiers (pids) parameters identifiers, or pids, are numbers and names used to identify data being displayed. what is an obd2 pid? There are also sets of commands. basic pids can be found on wikipedia, which contains a complete. What Are Pids In Automotive.
From www.team-bhp.com
OBD2 Parameter IDs (PIDs) and what they mean? TeamBHP What Are Pids In Automotive what is an obd2 pid? There are also sets of commands. parameter identifiers (pids) parameters identifiers, or pids, are numbers and names used to identify data being displayed. pids are the serial data that can be accessed from the vehicle computer using a scan tool. basic pids can be found on wikipedia, which contains a complete. What Are Pids In Automotive.
From www.pngegg.com
Car OBDII PIDs Scan tool Onboard diagnostics Electric vehicle, car What Are Pids In Automotive pids are the serial data that can be accessed from the vehicle computer using a scan tool. parameter identifiers (pids) parameters identifiers, or pids, are numbers and names used to identify data being displayed. what is an obd2 pid? There are also sets of commands. basic pids can be found on wikipedia, which contains a complete. What Are Pids In Automotive.
From www.youtube.com
Auto Tuning PID for angular position control YouTube What Are Pids In Automotive There are also sets of commands. basic pids can be found on wikipedia, which contains a complete set of basic commands that all cars should support. what is an obd2 pid? pids are the serial data that can be accessed from the vehicle computer using a scan tool. parameter identifiers (pids) parameters identifiers, or pids, are. What Are Pids In Automotive.
From www.reddit.com
Volkswagen OBD PIDs r/CarHacking What Are Pids In Automotive There are also sets of commands. pids are the serial data that can be accessed from the vehicle computer using a scan tool. basic pids can be found on wikipedia, which contains a complete set of basic commands that all cars should support. parameter identifiers (pids) parameters identifiers, or pids, are numbers and names used to identify. What Are Pids In Automotive.